您的位置: 学院首页党建思政支部建设 → 正文
支部建设

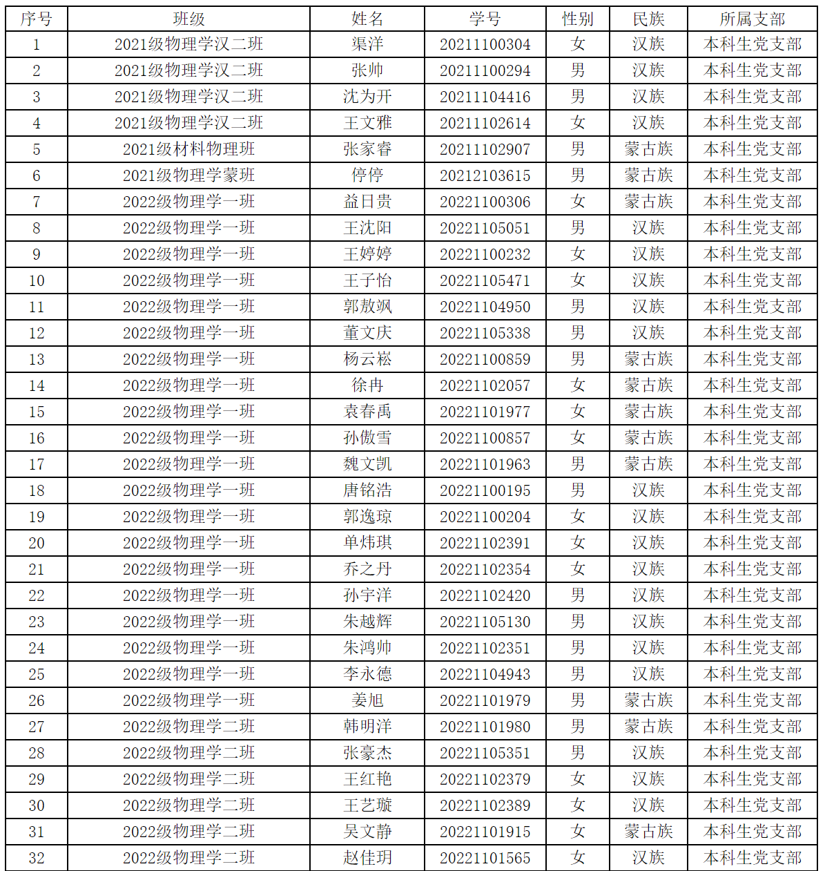
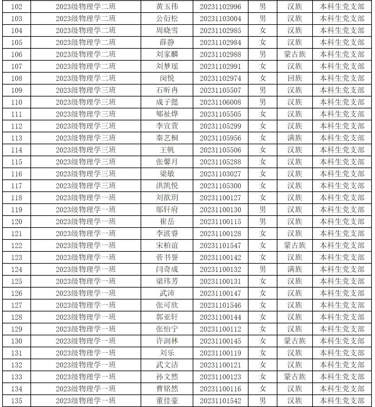
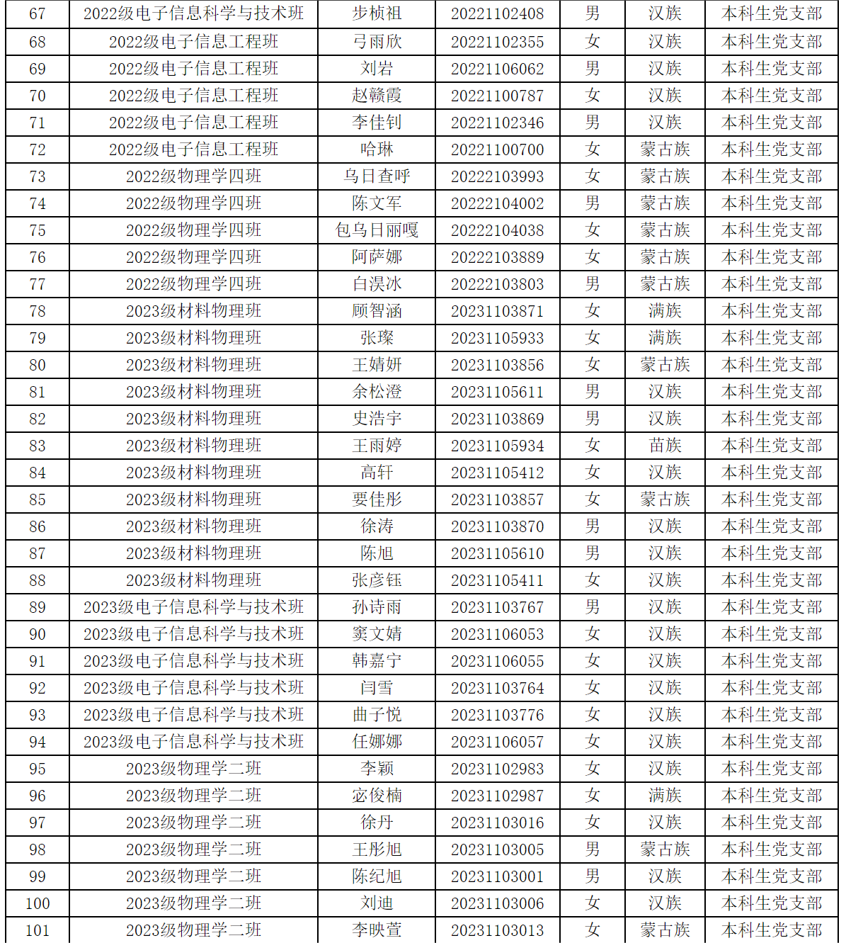
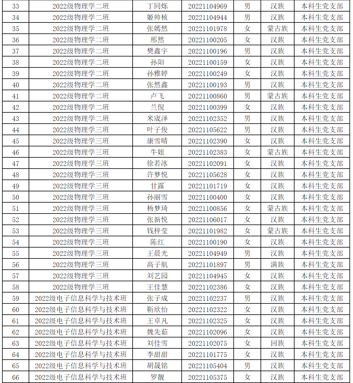
物理与电子信息学院本科生党支部关于确定渠洋等141名同志为第二十一期入党积极分子的公示

[日期:2024-04-15]



根据发展党员工作有关规定,经物理与电子信息学院本科生党支部召开支部委员会讨论,同意确定渠洋等141名同志为第二十一期入党积极分子。

根据党章及中国共产党发展党员工作细则的有关规定,现予以公示,接受党员群众监督。凡对公示对象有意见及异议者,请在公示期内以口头或书面形式向本科生党支部或物理与电子信息学院党委反映。

(后附名单)

公示期:2024年4月15日﹣4月19日,共5天。

联系电话:0471-7383860、18586031945


物理与电子信息学院本科生党支部

                               2024年415日